医師・医学生のためのスライド共有

Antaa Slide
診療科
特集

お知らせ

ログイン
感染症最新論文100選 2019年版 L1.png

関連テーマから出会おう。

閲覧履歴からのおすすめ

Antaa Slide
2023.5.13改訂 細菌マニュアル ver.8

2023.5.13改訂 細菌マニュアル ver.8

新米ID

続けて閲覧
ChatGPTが新着論文を要約し毎朝メールしてくれる仕組みの作り方

ChatGPTが新着論文を要約し毎朝メールしてくれる仕組みの作り方

内田直樹

続けて閲覧

1/151

関連するスライド

2023.5.13改訂 細菌マニュアル ver.8

2023.5.13改訂 細菌マニュアル ver.8

新米ID

426596

1413

皮膚軟部組織感染症

皮膚軟部組織感染症

森本将矢

139371

500

Drゆみの Weekly Journal Scan vol.23

Drゆみの Weekly Journal Scan vol.23

医療法人社団ゆみの

1708

1

感染症最新論文100選 2019年版

投稿者プロフィール
黒田浩一

藤田医科大学岡崎医療センター

540,890

258

概要

2019年に興味深かった感染症の論文を、スライド作成者の独断と偏見に基づいて選んで、1論文を1枚のスライドに簡単にまとめてみました。最後には、読んだほうがよい(かもしれない)総説・ガイドラインを、20追加しています。興味ある論文があれば、原著をあたってみてください。

本スライドの対象者

専攻医/専門医

投稿された先生へ質問や勉強になったポイントをコメントしてみましょう!

0 件のコメント

コメントするにはログインしてください

関連するスライド

2023.5.13改訂 細菌マニュアル ver.8

2023.5.13改訂 細菌マニュアル ver.8

新米ID

新米ID

426,596

1,413

ChatGPTが新着論文を要約し毎朝メールしてくれる仕組みの作り方

ChatGPTが新着論文を要約し毎朝メールしてくれる仕組みの作り方

内田直樹

内田直樹

1,489,685

1,957

皮膚軟部組織感染症

皮膚軟部組織感染症

森本将矢

森本将矢

139,371

500

Drゆみの Weekly Journal Scan vol.23

Drゆみの Weekly Journal Scan vol.23

医療法人社団ゆみの

医療法人社団ゆみの

1,708

1


黒田浩一さんの他の投稿スライド

すべて見る


テキスト全文

感染症最新論文の概要とテーマ

#1.

2019.12.14 DEKABEN 感染症最新論文100選 2019年版 神戸市立医療センター中央市民病院 感染症科 黒田浩一

#2.

テーマ • ASP/ID consult • 微生物 細菌(黄色ブドウ球菌、腸球菌、緑膿菌、耐性菌) 抗酸菌、ウイルス、真菌 • 検査(血液培養、PCR) • ICU/ED • 抗微生物薬(各薬剤、経験的治療) • 投与方法(投与経路・治療期間) • 渡航関連 • ワクチン • ガイドライン/総説

#3.

ASP/ID consult

カンジダ血流感染症の予後改善に関する研究

#4.

1 Candida血流感染症 IDコンサルトで予後改善 90日死亡 29% vs 51% • 単一施設後ろ向き観察研究 • カンジダ血流感染症における 感染症科コンサルテーション (血培採取前日から採取後7 日までの間)の効果を検討 • 90日死亡が減少 • ID consult群では - 抗真菌薬の投与期間↑ - CVC抜去率↑ - 心エコー検査と眼底検査↑ Lancet Infect Dis. 2019;19(12):1336-1344. doi: 10.1016/S1473-3099(19)30405-0

#5.

S. aureus菌血症 感染症科医とASTによって死亡減少 2 • 後ろ向き観察研究 • S. aureus菌血症(MRSAは35%):IDコンサルテーショ ンまたはASTの関与で30日死亡が減少(11% vs 24%) • AST:ガイドラインに順じた管理とIDコンサルトを推奨 • 介入群の83%は、ASTの関与なしでIDコンサルトされた • 介入群で、血液培養の再検、TTE施行、適切な標的抗菌薬 選択、適切な治療期間が行われた割合が高かった →ID consultなしのASTでどこまで効果があるかは不明 Infect Control Hosp Epidemiol. 2019;40(8):932-935. doi: 10.1017/ice.2019.136

#6.

3 IE teamによる診療支援で IEの治療成績が向上する可能性 • 単施設の後ろ向き観察研究 • endocarditis team(ET)の効果を評価 • ETは、毎週、施設のすべてのIE症例の診断と管理について検討。構成メンバーは、 心臓血管外科医、循環器内科医、心エコー技師、感染症科医。primary outcome は、病院内死亡(ET導入前後で比較)。 • ETによって、病院内死亡減少傾向(20.3% vs 14.7%:有意差なし)。手術ま での期間(16.3日 vs 10.3日)、抗菌薬投与期間、入院期間(40.6日 vs 31.9 日)は有意に短縮。多変量解析で、ET導入は、院内死亡の低下に関連。 ET導→IE診療が適正化→院内死亡が低下する可能性 Open Forum Infect Dis. 2019 Jul 16;6(9):ofz308. doi: 10.1093/ofid/ofz308

MALDI-TOF MSの導入効果と地域病院の感染症医派遣

#7.

4 MALDI-TOF MS導入だけではダメ • ベトナムでの無作為比較試験 • 無菌検体で培養陽性例(contamination除外) • MALDI-TOF MS群 vs 従来同定群 • 培養陽性から24, 48時間の適切な抗菌薬使用率は同等 だった(約40%、約46%) →ハードだけ整えてもダメ、ソフトも大切 J Infect. 2019;78(6):454-460. doi: 10.1016/j.jinf.2019.03.010

#8.

週1回の感染症医の派遣 地域の病院のカルバペネム使用量↓ 5 • 単施設観察研究(神戸大学のID医@加古川医療センター) • 血液培養採取や複数セット採取率も増加、患者予後も改善! J Hosp Infect. 2019;103(1):110-111. doi: 10.1016/j.jhin.2019.06.012

#9.

6 MALDI-TOF MS 肺炎患者の診療に有用?? • 米国の単施設で行われた後ろ向き観察研究 • もともと抗菌薬適正使用支援プログラムのある病院 • MALDI-TOF MSの導入前後で - 原因微生物同定までの時間:短縮 - 最適治療までの時間:短縮(特に、escalationが必要な場合) - de-escalation:増加(9%→18%)※de-escalationまでの期間は記載なし - 臨床的改善率・抗菌薬投与期間・入院期間:同等 →それほど有用ではない?耐性菌リスクの臨床評価が重要? Infect Control Hosp Epidemiol. 2019;40(9):1053-1055. doi: 10.1017/ice.2019.191

ペニシリン感受性S. aureus菌血症の治療法

#10.

細菌

#11.

Staphylococcus aureus

#12.

7 ペニシリン感受性S. aureus菌血症 flucloxacillin<ペニシリンG • • • • • • 前向き観察研究 ペニシリン感受性S. aureus菌血症(915例) 標的治療でPCGとflucloxacillinを比較 30日死亡:PCG群 10.5% vs flucloxacillin群 14.2% PSSA菌血症→積極的にde-escalation検討 vs CEZ? vs ABPC ? Int J Antimicrob Agents. 2019;54(4):491-495. doi:10.1016/j.ijantimicag.2019.05.020

MRSA菌血症におけるダプトマイシンの効果

#13.

8 ペニシリン感受性S. aureus菌血症 セファゾリン=ペニシリン系 • 日本で行われた後ろ向き観察研究 • PSSA菌血症(MIC≦0.03を条件とした) • PCG or ABPC vs CEZ • 治療期間は両群とも約30日 • 両群で、死亡、副作用、再燃が同等 →PSSA菌血症でPCG or ABPCは使用可能 J Infect Chemother. 2019 Dec 7. doi: 10.1016/j.jiac.2019.10.023

#14.

9 MSSA菌血症でPIPC/TAZ×? • 後ろ向き観察研究 • MSSA菌血症の治療を、全「入院」期間、単剤で 治療した患者を対象(併用治療や治療変更をした 患者は除外している) • Propensity-score matched cohortにおいて、 PIPC/TAZ群で30-day mortalityが高かった →MSSAと同定後は、PIPC/TAZを継続しない Open Forum Infect Dis. 2019 Jun 6;6(7):ofz270. doi: 10.1093/ofid/ofz270

#15.

MRSA菌血症 10 ダプトマイシン+βラクタムよい? • 後ろ向き観察研究 • MRSA菌血症 • Dapto単剤 vs Dapto+βラクタム • 使用されたβラクタム:セフェピム、セファゾリンなど • DAP+BL群で、治療失敗(60日全死亡+60日以内の再発)が有 意に少なかった(12.5% vs 27.4%) →今後のRCTの結果が重要(この報告はlimitationが多い) Clin Infect Dis. 2019 Aug 12. doi: 10.1093/cid/ciz746

MRSA菌血症の治療におけるβラクタムの追加効果

#16.

11 MRSA菌血症 VCMにβラクタム7日間追加 • RCT(ESCMID 2019で発表:文献化未) • MRSA菌血症 • 抗MRSA薬(主にVCM)vs βラクタム7日間追加 • βラクタム:セファゾリン、フルクロキサシリン • 治療成績の改善なし • VCM+フルクロキサシリン群でAKI増加 https://twitter.com/ErinMcCreary/status/1118093904719618048

#17.

12 MRSA菌血症 セフタロリン+ダプトマイシン!? • MRSA菌血症(N=40) の小規模なpilot study(RCT?) • 介入群:Dapto+セ フタロリン • 対照群:標準単剤治 療(主にVCM) • 病院内死亡が介入 群で有意に低かった Antimicrob Agents Chemother. 2019 Apr 25;63(5). doi: 10.1128/AAC.02483-18

#18.

13 尿培養でS. aureus検出された場合 • 後ろ向き観察研究 • 尿培養でS. aureusが検出された場合、S. aureus菌血症は6.9% • S. aureus菌血症のリスク因子:入院患者、男 性、最近の泌尿器科処置、S. aureusのみの検 出、全身の炎症を示唆する検査所見がある場合 Clin Infect Dis. 2019;69(6):963-969. doi: 10.1093/cid/ciy1000

A群レンサ球菌による咽頭炎の短期治療研究

#19.

14 人工関節のある患者のGPC菌血症 約20%で人工関節感染 • 菌血症患者における人工関節感染症の頻度を検討 - 全体:7%(46/643) - S. aureus:21% - β溶血性レンサ球菌:21% - Viridans Group Streptococcus:16% - CNS菌血症:0% - グラム陰性桿菌菌血症:1.3% • 人工関節感染発症のリスク 術後1年以内の菌血症、観察期間に複数回菌血症に罹患 Open Forum Infect Dis. 2019 May 7;6(6):ofz218. doi: 10.1093/ofid/ofz218

#20.

Group A Streptococcus

#21.

15 GASによる咽頭炎の短期治療 • RCT(非劣勢) • GASによる咽頭炎患者(6歳以上) • ペニシリンV 800mg 1日4回 5日間 vs 1000mg 1日3回 10日間 臨床的治癒同等 合併症同等 再燃同等 咽頭除菌率 10日治療群↑ ←咽頭痛の改善 BMJ. 2019 Oct 4;367:l5337. doi: 10.1136/bmj.l5337

Enterococcus菌血症の診療バンドルによる死亡減少

#22.

16A群レンサ球菌のpbp2x mutation βラクタムのMIC上昇 • A群β溶血性レンサ球菌の感受性が、pbp2xの遺伝子 変異によって低下したことが報告された(2症例) • 2例とも頻回のペニシリン系をはじめとするβラクタ ム系抗菌薬への曝露があった • AMPCのMICが0.25 µl/mLと高値(ギリギリS) • ペニシリンGのMICは上昇なし(≦0.015 µg/mL) • 非感性株ではないが、今後注意していく必要あり Clin Infect Dis. 2019 Oct 20. doi: 10.1093/cid/ciz1000

#23.

Enterococcus spp.

#24.

17 Enterococcus菌血症診療 バンドル作成で死亡減少! • 単施設での観察研究(前 後比較) • 対象:Enterococcus菌血 症(E. faecalis 55%、E. faecium 30-39%) • - バンドル IDコンサルト 血液培養再検 心エコー検査 早期最適抗菌薬治療 30日死亡が減少 20% vs 32% Open Forum Infectious Diseases 2019 Dec 12;6(12):ofz473. doi:0.1093/ofid/ofz473

E. faecalisによる感染症の治療法と効果

#25.

18 落花生サイン peanut sign • 観察研究(前橋赤十字病院) • 血液培養でEnterococcus陽性検体を使用 • 落花生サインあり →E. faecium(ABPC R)を推定可能 • 感度は78-94%、特異度78-96% 落花生サインなし→E. faecalis↑ 感染症誌 2019;93:306-311

#26.

E. faecalis E. faecium

#27.

19 E. faecalisにVCMは? • 後ろ向きコホート研究:Enterococcus菌血症患者で、血液 培養採取から7日以内に4日間以上使用された最初の抗菌薬 の効果を評価 • Enterococcus菌血症:VCMとβラクタムは同等(非劣勢) • PCG感性Enterococcus菌血症の場合 →両群で30日死亡は同等 • PCG感性かつEnterococcus単独の菌血症の場合 →両群で30日死亡は同等 Int J Antimicrob Agents. 2019 Jun;53(6):761-766. doi: 10.1016/j.ijantimicag.2019.03.023

緑膿菌菌血症の初期治療と予後因子に関する研究

#28.

20 Enterococcus faecalisによるIE PCG+CTRXは? • Enterococcus faecalisのIE • ペニシリンG+セフトリアキソンの有効性につ いての4例のcase series • ABPC+CTRX:1日8回投与→OPAT不可 • PCGは持続投与可能(OPAT可能) →1日3回投与(PCG 1回持続、CTRX 1日2回) →dataはまだ不十分だが、効果は期待できる? Infect Dis (Lond). 2019 Sep 30:1-4. doi: 10.1080/23744235.2019.1672888

#29.

21 E. faecalis IE PCGとCTRXによる併用治療 • E. faecalisによるIEの治療でPCGは? • PCGとCTRXの、in vitroでのsynergy効果 や臨床効果は、ほぼ検討されていない • PCG+CTRXでの治療成功例3例を報告 • PCGは1800-2400万単位/日(持続投与) Clin Infect Dis. 2019 Jul 1. pii: ciz594. doi: 10.1093/cid/ciz594

#30.

22 E. faecium菌血症 VCMとLZDは同等 • 後ろ向き観察研究:E. faecium菌血症の治療にお けるリネゾリドとグリコペプチドの効果の比較 • 臨床的治癒、30日死亡、微生物学的治療成功、は 両群で同等 • 副作用などでVCM使用できない場合、リネゾリド は選択肢となりうる Int J Antimicrob Agents. 2019;54(5):572-578. doi: 10.1016/j.ijantimicag.2019.08.018

市中発症の緑膿菌菌血症の予後因子と治療法

#31.

Streptococcus-like bacteria (SLB)

#32.

23 SLB菌血症のIEリスク • 後ろ向き観察研究 • 各SLB菌血症のIEの割合 Abiotrophia spp. 21% Granulicatella spp. 7.3% Gemella spp. 6.9% Aerococcus spp. 3.8% • IE予測ツール HANDOC:感度97%、特異度85% DENOVA:感度91%、特異度90% Open Forum Infect Dis. 2019 Oct 4;6(10):ofz437. doi: 10.1093/ofid/ofz437

#33.

Pseudomonas aeruginosa

クラミジア感染症の治療法と耐性株の影響

#34.

24 緑膿菌菌血症 初期治療と予後は関連なし? 緑膿菌菌血症の死亡予測因子を検討した後ろ向き観察研究 対象者は2396名(9か国25医療機関) 30日全死亡は、26.5% 多変量解析によって示されたリスク因子 年齢、女性、寝たきり、最近の入院、副腎皮質ステロイドの使用 Charlson comorbidity score 高値 多剤耐性菌、尿路感染症以外のfocus、重症(SOFA score 高値) 院内発症、気管挿管後の状態、ICU入室 • 24時間以内の適切な経験的治療と死亡の関連は認められなかった • • • • • ほとんどのリスク因子は修正が難しいものであった →院内感染対策・多剤耐性菌を減らす努力が重要である Int J Antimicrob Agents. 2019 Nov 23. doi: 10.1016/j.ijantimicag.2019.11.004

#35.

25 緑膿菌菌血症の短期治療 • 非複雑性緑膿菌菌血症の治療期間を検討した観察研究。 • 短期治療群:7-11(中央値:9)日間 vs それ以上 • 成績(30日以内の死亡+再燃)は同等 • 約35%の患者は経口FQへ5-6日後に変更 • 非複雑性=source controlができている、持続しない菌血症で、明らか に治療期間が長いとわかっている感染臓器を除外したもの →合併症のない緑膿菌菌血症では10日程度? Clin Infect Dis. 2019;69(11):2011-2014. doi: 10.1093/cid/ciz223.

#36.

26 緑膿菌菌血症の標的治療 CAZ・カルバペネム・P/T同等 • 後ろ向き観察研究、9か国25施設で実施 • βラクタム単剤で標的治療された緑膿菌菌血症(N=767) • 30日全死亡を比較:セフタジジム、カルバペネム、PIPC/TAZ で同等(約20%) • 抗緑膿菌活性のある抗菌薬に対する耐性の出現は、カルバペネ ム群で有意に多かった →標的治療にはカルバペネム以外を選択 Clin Infect Dis. 2019 Jul 17. doi: 10.1093/cid/ciz668

インフルエンザワクチンの効果と接種戦略

#37.

27 市中発症の緑膿菌菌血症 • 市中発症緑膿菌血流感染症のpredisposing factorと予後因子を検討したSRとメタ解析 • 対象:12の観察研究(ほとんどが後ろ向きコホート研究) • predisposing factor:固形腫瘍(33.1%)、血液悪性腫瘍(26.4%)、好中球減少症 (31.7%)、抗菌薬使用歴(44.8%)、ステロイド使用(23.8%)など • 感染focus:UTI 18.9%、気道感染症18.9%、不明13.1%、腹腔内6.25%、CRBSI 7.1% • mortality rate:33.8%(院内発症の緑膿菌菌血症と同等程度) • 予後不良因子:来院時のseptic shock、不適切な経験的治療 • 結論:市中発症の緑膿菌による菌血症は、悪性腫瘍または免 疫不全者で考慮する必要があり、その場合不適切な経験的抗 菌薬を選択すると予後が悪化する可能性がある(しかし、過 剰な抗菌薬投与も控えたい...) Clin Microbiol Infect. 2019;25(8):964-970. doi: 10.1016/j.cmi.2019.04.005

#38.

Chlamydia trachomatis

#39.

28 直腸クラミジア感染症はDoxy • 前向きコホート研究 • 対象:クラミジア感染症の成人女性 • Doxy 1回100mg 1日2回 7日間とAZM 1g単回投与を比較 • 主要評価項目:4週間後のNAAT陰性率 • 直腸クラミジア:Doxy 95.5% > AZM 78.5% • 性器クラミジア感染症:2剤の効果は同等 Clin Infect Dis. 2019;69(11):1946-1954. doi: 10.1093/cid/ciz050

抗微生物薬の投与方法と治療期間に関する研究

#40.

Clostridioides difficile

#41.

29 劇症型CDIの治療 メトロニダゾール併用は不要? • 大規模な後ろ向き研究(N=2114) • CDIに対する経口VCMと静注MNZの併用は、 経口VCM単剤と「90日死亡/再燃」が同等 • 劇症型(主に血圧低下)の場合も同等 • ileus/megacolon症例の検討は不十分 →イレウスがない状況であれば、単剤治療? Clin Infect Dis. 2019 Nov 12. doi: 10.1093/cid/ciz1115

#42.

その他

渡航関連感染症の診断と治療法

#43.

30 肝膿瘍の静注抗菌薬治療 1週間では短すぎる!? • 肝膿瘍(ドレナージあり)の治療を退院時点から、内服に変更した群と、 点滴治療を続けた群の再入院率を比較した後ろ向き観察研究 • 内服治療群で30日以内の再入院が多かった(39.6% vs 17.6%) ※内服群はLVFX+Metronidazoleが最多 • ただし... - 内服治療群の入院期間が6日、点滴治療群は9日間(退院早すぎ?) - 合計治療期間:内服治療群20日、点滴治療群31日(IV群に有利?) →「IVで1週間、すぐに内服スイッチ」は早すぎる? Pharmacotherapy. 2019;39(7):734-740. doi: 10.1002/phar.2296

#44.

31 K. pneumoniaeの肝膿瘍 1週間のIV治療のその後は? • • • • 非劣勢無作為比較試験 7日以内の効果的なIV抗菌薬が投与された後の治療 CPFX内服500-750mg×2/日 vs CTRX 2g/日 治療成績(12週時点でのclinical cure rate)同等 Clin Infect Dis. 2019 Oct 23. pii: ciz881. doi: 10.1093/cid/ciz881

#45.

32 Nocardia spp.の薬剤感受性 • フランスのNocadia spp.の菌種別の薬剤感 受性データ • ST合剤、ミノサイクリン、リネゾリド、ア ミカシンは比較的感受性がよい • イミペネムも比較的感受性はよいが、同じカ ルバペネムのメロペネムは耐性率高い Clin Microbiol Infect. 2019;25(4):489-495. doi: 10.1016/j.cmi.2018.06.013

ワクチン接種の重要性とその効果に関する研究

#46.

33 S. maltophilia感染症の治療 ST合剤 vs フルオロキノロン • メタ解析(14の観察研究を対象) • 両群で、overall mortality rate同等 • 交絡因子は調整されていない →感受性があれば、フルオロキノロンも選択肢 Clin Microbiol Infect. 2019;25(5):546-554. doi: 10.1016/j.cmi.2018.11.008

#47.

34 Stenotrophomonas maltophilia 肺炎の治療は単剤でよい? • 後ろ向き観察研究 • Steno肺炎に対する標的治療:併用治療 vs 単剤治療 • 併用:主にST合剤+(キノロン or Mino) • 単剤:主にST合剤、LVFX • 主にICU患者のVAPが対象 • 効果のある抗菌薬投与開始後7日時点でのClinical response:同等 • 治療終了後の非感性株の出現:同等 →アンチバイオグラム次第だが、単剤でよい可能性 J Antimicrob Chemother. 2019;74(7):2055-2059. doi: 10.1093/jac/dkz116

#48.

耐性菌

抗菌薬の短期治療に関するガイドライン

#49.

35 ベジタリアンのESBL産生菌保菌率 • オランダの観察研究 • 家禽の肉のESBL産生菌保有率は超高率(約100%) • ESBL産生菌が家禽の肉から伝播する? - ベジタリアン 8.0% - ペスカタリアン 6.9% - 非ベジタリアン 3.8% →肉を食べることはESBL産生菌保菌リスクではなかった J Antimicrob Chemother. 2019 Nov 25. doi: 10.1093/jac/dkz483

#50.

36 便移植でESBL産生菌伝播 • 便移植によって伝播したESBL産生E. coliによる菌 血症の2症例(うち1例は死亡) • 日本では行われていないCDIに対する便移植であ るが、もし行う場合は、ドナーの便のscreening 検査が重要である N Engl J Med 2019; 381:2043-2050. DOI: 10.1056/NEJMoa1910437

#51.

37 ESBL産生腸内細菌科細菌による 尿路由来の菌血症への 標的治療としてのアミノグリコシド • アミノグリコシド(GMまたはAMKの1日1回投与)とのカルバペネム(エルタペネ ム)またはPIPC/TAZの効果を検討した後ろ向き観察研究 • アミノグリコシド群:腎機能よい、基礎疾患少ない、E. coli多い、ICU入室少ない、 septic shock少ない、source control率高い:軽症例多い • 30-day mortality:AG群 13% vs 標準治療群 21.1% • 14日時点でのAKI:AG群 12% vs 標準治療群 10.6% →非重症例ではアミノグリコシドは選択肢となる J Antimicrob Chemother. 2019 Nov 6. doi: 10.1093/jac/dkz457

薬剤耐性菌の現状と対策に関する報告

#52.

38 ESBL or AmpCβラクタマーゼ産生 腸内細菌科細菌による菌血症の標的治療 →ST剤とフルオロキノロン内服 • 後ろ向き観察研究 • 対象:ESBL産生またはAmpCβラクタマーゼ産生腸内細菌科細菌 (E. coliまたはK. pneumoniae)による菌血症 • 標的治療:カルバペネム以外の経口/筋注抗菌薬 vs カルバペネム • focus:尿路感染症63%、胆道系感染症15% • 経口抗菌薬群:ST合剤59.5%、フルオロキノロン21.4%。 • 経口抗菌薬群で入院期間が短かった(7日 vs 12日) • 30日死亡(5% v 10%)、再燃(2% vs 5%)は同等 • 比較的軽症のESBL産生腸内細菌科細菌による菌血症(特に尿路感 染症)では、内服のST合剤またはフルオロキノロンへの変更が考慮 できる(治療成績は同等で、入院期間の短縮につながる) Int J Antimicrob Agents. 2019;54(2):189-196. doi: 10.1016/j.ijantimicag.2019.05.004

#53.

39 AmpC産生腸内細菌科細菌菌血症 カルバペネム vs PIPC/TAZ • 15の観察研究のメタ解析 • BLBLIとカルバペネムは30日死亡率で同等 • 現在MERINO IIというRCT(PIPC/TAZ vs MEPM)が行われている • 現時点でEnterobacter sppなどに対して、PIPC/TAZを使用することは許 容されると思われる(例えば、胆管炎、複数菌による尿路感染症、褥瘡 感染症などで、Enterobacterとその他の検出菌をPIPC/TAZですべてカ バーできる場合など) Open Forum Infect Dis. 2019 Jul 1;6(7). pii: ofz248. doi: 10.1093/ofid/ofz248

#54.

40 MRSA菌血症による死亡↓ FQ耐性E. coli菌血症による死亡↑ 日本の観察研究 J Infect Chemother. 2019 Dec 1. doi: 10.1016/j.jiac.2019.10.017

感染症診療における新たな治療法の提案

#55.

抗酸菌

#56.

41 LTBIの治療中/後の結核発症 耐性菌リスクほとんどなし • LTBI治療対象者8472名を対象とした観察研究 • LTBIの治療:INH 46%、RFP 43% • 全体の0.28%(24名)で活動性結核発症 24名中10名は治療中、14名は治療後 • 結核菌検出例で耐性株なし →LTBIの治療による耐性化リスクは低い Clin Infect Dis. 2019 Nov 27. doi: 10.1093/cid/ciz1157

#57.

ウイルス

感染症に関する最新の研究成果と今後の展望

#58.

42 インフルエンザ バロキサビル耐性変異株の感染力 • バロキサビル耐性変異ウイルス (A/H1N1・A/H3N2)は、動物実験 で、通常の株と同等の感染力・病原 性があることが示された Nat Microbiol. 2019 Nov 25. doi:10.1038/s41564-019-0609-0

#59.

43 バロキサビル耐性変異株 日本国内での検出 • 耐性変異株の出現 Euro Surveill. 2019 Jan;24(3). doi: 10.2807/1560-7917.ES.2019.24.3.1800698 Article submitted on 21 Dec 2018/published on 17 Jan 2019 • 使用していない患者からの耐性株の検出 Euro Surveill. 2019 Mar;24(12). doi: 10.2807/1560-7917.ES.2019.24.12.1900170 Article submitted on 06 Mar 2019/published on 21 Mar 2019

#60.

44 小児のインフルエンザ バロキサビル耐性変異株の出現23.4% • 対象:1-11歳のインフルエンザ(主にA/H3N2) • 比較研究ではない(単アーム試験) • A/H3N2の23.4%で耐性変異株検出が出現 • 耐性変異株:症状改善の遅延、ウイルス排泄期間延長 • A/H3N2のHAI抗体価が40未満の場合と5歳以下の小児で、 耐性変異株が出現しやすい傾向を認めた Clin Infect Dis. 2019 Sep 20. doi: 10.1093/cid/ciz908

#61.

45 重症インフルエンザ 48時間以内のオセルタミビル Clin Infect Dis. 2019;69(11):1896-1902. • ギリシャで行われた観察研究 doi: 10.1093/cid/ciz101 • 重症インフルエンザ患者を対象 ICU入室 and 人工呼吸器使用 and タミフル投与 • オセルタミビル早期投与 vs それ以降の投与 • 「早期」の定義:症状出現から48時間以内 死亡 A/H3N2 退院

#62.

46 麻疹の診断は難しい • シンガポールの後ろ向き観察研究 • ERからの麻疹入院患者のうち60%以上は、適切にトリアージ・隔 離されなかった • 33.2%の患者(全員曝露歴-)は、病棟で隔離されていなかった! • 皮疹が出る前に来院する患者も多い(27.1%) →ワクチン接種が重要! Pediatr Infect Dis J. 2019;38(12):1204-1207. doi: 10.1097/INF.0000000000002481

#63.

47 麻疹ウイルスによる免疫低下 • 麻疹ウイルスに感染することによって、液性免疫が低下する(その他 のウイルスに対する抗体レパートリーが低下:免疫がリセット)。 • どの程度臨床的にインパクトがあるかは不明。 • MMRワクチン接種歴のある麻疹患者にはその傾向がみられなかった。 →ワクチン接種しましょう! Science. 2019;366(6465):599-606. doi: 10.1126/science.aay6485

#64.

48 9価HPVワクチンと子宮頸がん検診 将来的に子宮頸がんは稀ががんになる • オーストラリアからの報告 • 9価HPVワクチン接種と子宮頸がんスクリーニングを組み合 わせることによって、20年以内に子宮頸がんに罹患・死亡す る人は、ほとんどいなくなる Lancet Public Health. 2019;4(1):e19-e27. doi: 10.1016/S2468-2667(18)30183-X

#65.

49 効果のあるART中ゲイカップル HIVの伝播はほぼない • 多施設前向き観察研究 • 対象:片方がHIV感染者(抗ウイルス薬によってViral loadが抑制 されている)のコンドームなしanal sexをするゲイカップル • 結果:カップル間の感染伝播はなかった Lancet. 2019;393(10189):2428-2438. doi: 10.1016/S0140-6736(19)30418-0

#66.

50 ドルテグラビル耐性HIV Failure of Dolutegravir First-Line ART with Selection of Virus Carrying R263K and G118R N Engl J Med. 2019 Aug 29;381(9):887-889. doi: 10.1056/NEJMc1806554

#67.

51 HIV:TAF/FTC+DTG • 第3相open-label 非劣勢RCT(ADVANCE trial) • 初回治療としてのTAF/FTC+DTG vs TDF/FTC+DTG vs TDF/FTC+EFV • Primary endpoint:48週時点のHIV-RNA 50コピー未満→3群で同等 • TAF:骨密度と腎機能への影響↓、体重↑(新規の肥満男性7%、女性20%) N Engl J Med. 2019;381(9):803-815. doi: 10.1056/NEJMoa1902824

#68.

52 妊娠時のドルテグラビルの使用 新生児の神経管欠損症わずかに増加 • ボツワナで行われたnationwide birth surveillance • 妊娠時のドルテグラビル内服が、神経管欠損症の発症と関連(1000分 娩に対して約2例の増加) • ※WHOは、差は小さく、治療効果が高いことを踏まえて、妊婦への DTGの使用の推奨をもとに戻した) N Engl J Med. 2019;381(9):827-840. doi: 10.1056/NEJMoa1905230

#69.

53 PMLの治療:ペンブロリズマブ • 背景:PML(Progressive Multifocal Leukoencephalopathy:進行性多巣性白質脳症)患者 の血中または髄液中のCD4陽性細胞とCD8陽性細胞はPD-1を発現している頻度が、健常者と 比べて高い。特にJCウイルス特異的CD8陽性細胞で、PD-1が高発現している。P病変部に存 在するT細胞にもPD-1が発現している。また、PD-L1は、病変部のマクロファージに発現し ている。PD-1をpembrolizumab(PD-1阻害薬)で阻害することによって、PML患者の抗JC ウイルス免疫が再活性化する可能性がある。 8名のPML患者に、pembrolizmab(2 mg/kg 4-6週に1回)を1-3回投与 • Case series: • 結果: 5名の患者で、PMLは改善または安定化した(in vitro CD4+とCD8+リンパ球の抗 JCウイルス活性が上昇)pembrolizumabによって原病が改善した患者はいなかった PMLの治療にペンブロリズマブが今後検討されるかも!? N Engl J Med. 2019;380(17):1597-1605. doi: 10.1056/NEJMoa1815039

#70.

真菌

#71.

54 初発AML患者の10%がIPA? • 単一施設で行われた観察研究 • 新規にAMLと診断された患者全員にスクリーニング 胸部CT(baseline CT)を撮影した • 侵襲性肺アスペルギルス症が10%でみつかった • BaselineのIPAの予測因子は存在しなかった • mortalityへのbaseline CTの影響は検討していない • アスペルギルス感染症が多い施設である Clin Infect Dis. 2019;69(10):1805-1808. doi: 10.1093/cid/ciz194

#72.

検査

#73.

55 悪性腫瘍患者のFN 血液培養陽性まで24時間以内! • 血液悪性腫瘍(80%以上を占める)または固形腫瘍の患者のFN/菌血症 症例を対象とした前向き観察研究 • 血液培養は24時間以内に92.1%が陽性となる • 24時間を超えて陽性となる状況 - 抗菌薬使用中の患者に血液培養採取した場合(breakthrough) - カテーテル関連血流感染症 - CNS, 嫌気性GNR, Candida spp., Stenotrophomonas • 多剤耐性グラム陰性桿菌は、全例24時間以内に陽性となった Clin Microbiol Infect. 2019;25(4):447-453. doi: 10.1016/j.cmi.2018.07.026

#74.

56ICU患者での培養結果待ち時間 抗MRSA薬による経験的治療 • ICU患者におけるコホート研究 • MRSA肺炎の喀痰培養:72時間以内に97%がS. aureus検出 • MRSA菌血症の血液培養:48時間以内に97.6%でGPC cluster検出 →最終培養結果を待つ前に、経験的治療は終了できる 喀痰培養でS. aureusが 検出されるまでの時間 72 血液培養でGPC cluster が検出されるまでの時間 48 Ann Pharmacother. 2019 Sep 22:1060028019877937. doi: 10.1177/1060028019877937

#75.

57重症Sepsisでの血液培養陽性率 抗菌薬投与で約40%低下 • • • • 重症sepsis患者での抗菌薬投与前後の血液培養の感度を比較 治療開始前と治療開始後4時間以内で比較(中央値70分) 血液培養陽性率:投与前31.4%→投与後19.4%(12%低下) 投与開始4時間以内の陽性率は52.9% Ann Intern Med. 2019 Sep 17. doi: 10.7326/M19-1696

#76.

58 ICUのsepsis患者における 抗菌薬の血液培養陽性率への影響 • ICUのsevere sepsis患者(28日死亡が約30%) • 抗菌薬投与前の陽性率50.6%、抗菌薬投与中の陽性率27.7% • GPCでもGNRでも同様の抗菌薬投与後に陽性率は有意に低下 約20%低下 Clin Microbiol Infect. 2019;25(3):326-331. doi: 10.1016/j.cmi.2018.05.016

#77.

59 小児のGNR菌血症 血液培養のフォローが必要? • 後ろ向き観察研究 • 対象:小児(中央値2歳)のGNR菌血症(99例) • 21%で持続菌血症で、そのうち57%で治療方針が変わった 抗菌薬の変更・投与量増量、カテーテルなどの人工物の抜去 • 持続菌血症のfocus:CRBSI、focus不明 • 持続菌血症のリスク因子:CVC留置、不適切な経験的治療 • 尿路感染症によるGNR菌血症では持続菌血症なし →血液培養の再検が必要な状況 :不適切な経験的治療、CVカテーテル挿入中、focus不明 J Infect Chemother. 2019;25(9):738-741. doi: 10.1016/j.jiac.2019.04.014

#78.

60 ED患者における抗菌薬投与による 血液培養陽性率の変化 • 大規模な観察研究(N=25686) • 効果のある抗菌薬を血液培養採取前に投与すると血液培養 の陽性率は低下するが、1時間以内であれば低下しなかった 2時間経過すると 血培陽性率低下が著明 Open Forum Infect Dis. 2019 May 20;6(5):ofz179. doi: 10.1093/ofid/ofz179

#79.

61 呼吸器ウイルスのmultiplex PCR • 16のウイルスを同定できるnasal swabの multiplex PCRの早期使用の効果を検討したRCT • 対象:急性気道感染症疑いで3次病院ER受診し た16歳以上の成人(998名) • 早期(24時間以内)vs 7日以内 • Outcome:入院期間・抗菌薬投与期間は同等 →rouite使用は抗菌薬投与や治療成績に影響なし →有用な臨床状況の検討が必要 Clin Microbiol Infect. 2019 Sep 28. doi: 10.1016/j.cmi.2019.09.013

#80.

62 入院時鼻腔MRSA陰性の場合 入院7日以内のMRSA感染症ほぼなし • 後ろ向き観察研究 • 入院時に鼻腔MRSAスクリーニング(PCRまたは培養) をして、陰性であった場合、7日以内にMRSA感染症発 症の可能性は非常に低い(陰性反応的中率 96.5%) →routineのMRSAカバーをやめることが可能 • 陽性反応的中率も低い→rule in目的では使用できない Clin Infect Dis. 2019 Oct 1. doi: 10.1093/cid/ciz974

#81.

ICU/ED

#82.

63 EDでの早期IDコンサルト 院内死亡 24.3% vs 38.0% →40%減少 感染症医:抗菌薬の 選択・投与量・投与 期間、追加の検査に ついて推奨 • 後ろ向き観察研究:3-hour bundleを達成後の248名のsevere sepsisまたはseptic shockで成人ED患者で、early ID consult群 (ED tirageから12時間以内)と標準治療群を比較 Open Forum Infect Dis. 2019 Oct 31;6(10):ofz408. doi: 10.1093/ofid/ofz408

#83.

64 Severe Sepsis/Septic Shock 1時間以内の抗菌薬投与は 院内死亡と関連なし • 日本で行われた多施設(59 ICU)前向き観察研究 Crit Care. 2019 Nov 19;23(1):360. doi: 10.1186/s13054-019-2644-x

#84.

65 低体温療法時の早期VAP予防 • 対象:除細動の適応のある院外心肺停止後に低体 温療法を行う患者 • 介入:AMPC/CVA点滴 vs placebo(2日間) • Outcome:早期VAP(入院後7日以内) N Engl J Med 2019; 381:1831-1842. DOI:10.1056/NEJMoa1812379

#85.

抗微生物薬による治療 各薬剤 経験的・標的治療

#86.

66 新規発症の骨髄腫患者 予防的レボフロキサシンの効果 • 対象:新規発症の骨髄腫患者、試験デザイン:RCT(placebo vs LVFX) • 介入:予防的レボフロキサシン12週間 • Primary outcome:発熱+死亡→介入群で有意によい成績 • Secondary outcome:overall survival etc → 同等 • LVFX耐性E. coliが多い日本でこのevidenceを適応する? • 発熱episodeを減らす程度の効果であり、個人的には不要と思う Primary outcome OS Lancet Oncol. 2019 Oct 23. doi: 10.1016/S1470-2045(19)30506-6

#87.

67 フルオロキノロンの副作用 今度はARとMR • 不均衡分析、症例対照研究 • フルオロキノロン系抗菌薬 の60日以内の使用が、大 動脈弁逆流症と僧房弁 逆流症のリスクを上昇さ せる可能性を示した • AZM or AMPCと比較 J Am Coll Cardiol. 2019;74(11):1444-1450. doi: 10.1016/j.jacc.2019.07.035

#88.

68急性外耳道炎へのキノロン点耳 鼓膜穿孔と関連 • 後ろ向き観察研究 • 急性外耳道炎に対するフルオロキノロン点耳は鼓 膜穿孔と関連した • ネオマイシン点耳と比較 Clin Infect Dis. 2019 May 2. doi: 10.1093/cid/ciz345

#89.

69 非重症市中肺炎 セフトリアキソン1g vs 2g • 市中肺炎の治療のRCT(CTRXとその他の薬剤の治療効果を比較したも の)を集めて解析 • CTRX 1 g/日:比較薬(LVFXやエルタペネム)と同等 • CTRX 2 g/日:比較薬(CFPMやMFLX)と同等 • CTRXは1 g/日と2 g/日の効果は同等の可能性が高い • critically ill patientsを含むRCTは除外されている • 解釈:CTRX 1 g/日と2 g/日を直接比較しているわけではないが、1 g/ 日でもその他の標準的治療と同等の効果が期待できるため、おそらく同 等の効果が期待できる Expert Rev Anti Infect Ther. 2019;17(7):501-510. doi: 10.1080/14787210.2019.1627872

#90.

70 セフェピム トラフ濃度と神経毒性 後ろ向き観察研究 対象:セフェピム投与・トラフ濃度測定された 38.1 7.7 319名 神経毒性(3回投与以降に出現):23.2% 神経毒性の内訳:混乱/不穏/幻視が62%、意識 障害/昏睡が43%、ミオクローヌスが8%(薬剤 性以外のものも含まれれていると思われる) ・腎機能に応じてセフェピムの投与量を調整する必要性がある ・トラフ濃度の測定が有用な可能性が高い(実施は難しいが) Clin Microbiol Infect. 2019 Jul 5. doi: 10.1016/j.cmi.2019.06.028

#91.

71 複雑性腹腔内感染症 カルバペネム vs その他のβラクタム • RCTのメタ解析 • 対象:複雑性腹腔内感染症 • カルバペネム vs その他のβラクタム • 嫌気性カバーがない場合はMetro併用可 • 治療成功、死亡、副作用すべて同等 Open Forum Infect Dis. 2019 Sep 9;6(10):ofz394. doi: 10.1093/ofid/ofz394

#92.

72 Enterobacter肺炎 CFPM/ertapenem vs PIPC/TAZ • 単施設の後ろ向きコホート研究 • Enterobacter肺炎(N=114)に対する標的治療 • PIPC/TAZ(4.5g q8h 4時間点滴) vs セフェピム(2g q8h 4時間点滴) or エルタペネム • Primary endpoint:気道検体を採取した7日後のclinical cure • Secondary outcome:肺炎の再燃、耐性菌出現、人工呼吸器使用期間、感染に関連した入院期間、 病院内死亡率 • CFPM/ertapenem群でICU入室者が多かった、 • 両群とも治療期間の中央値は7日間 • Clinical cure:同等、PIPC/TAZ群76.3%、CFPM/ertapenem群87.3% • Secondary outcome:同等 • 30日以内に再発した肺炎において、6例中5例でPIPC/TAZ耐性、CFPMは1例、ertamepenは0例 Enterobacter spp.による院内肺炎の治療で、PIPC/TAZに よる標的治療は、CFPMまたはertamepemと比較して、予後 を悪化させない可能性が高いが、再発時は耐性化の懸念がある Int J Antimicrob Agents. 2019;54(6):824-828. doi: 10.1016/j.ijantimicag.2019.07.008

#93.

73 ESBL産生腸内細菌科細菌腎盂腎炎 初期治療はずしても...? • 後ろ向き観察研究 • ESBL産生腸内細菌科細菌による急性腎盂腎炎(約90%が複 雑性)で適切初期治療群(PIPC/TAZまたはカルバペネム) と不適切初期治療群(CTRXとシプロフロキサシン)の治療 失敗率を比較 • 適切初期治療群7.8%、不適切初期治療群8.4%で同等 • 適切な治療までの期間は2日の差があった(0日 vs 2日) →軽症から中等症の腎盂腎炎(複雑性を含む)の初期治療では、 カバー率はそれほど求められない Eur J Clin Microbiol Infect Dis. 2019;38(5):937-944. doi: 10.1007/s10096-019-03528-9

#94.

74 リネゾリド トラフ濃度と血小板減少 • 小規模な前向き観察研究(N=61) • 対象:リネゾリドを10日以上使用する患者 • リネゾリドの血中濃度測定(目標トラフ値 2-8mg/L) を行ったところ、持続して血中濃度が目標値の上限を上 回った群で、血小板減少が多かった(10-15% vs 75%) • TDMを適切に行うことで血小板減少が減る可能性がある (日本でTDMが将来可能となれば...) J Antimicrob Chemother. 2019;74(12):3588-3595. doi: 10.1093/jac/dkz374

#95.

75 リネゾリドの投与量調整 • リネゾリドの副作用と薬物動態を検討 • 10日以上のLZD投与患者における血小板減少のリ スク因子:CKD(eGFR<60)、baseの血小板数 <15万、総Bil>1.2mg/dL • eGFRが60未満の場合、効果と副作用を考慮する と、1回300mg 1日2回(通常投与量は1回 600mg 1日2回)がよいかもしれない Antimicrob Agents Chemother. 2019 Jul 25;63(8). doi: 10.1128/AAC.00605-19

#96.

セフトロザン/タゾバクタム

#97.

76 セフトロザン/タゾバクタム 肺炎における投与量とMIC 30日死亡 - 通常投与量 - 倍量投与 • 多剤耐性緑膿菌によ る下気道感染症(70%が肺 炎)への効果を検討した観 察研究 • MIC>2で予後悪化 • 感性の基準はMIC≦4 • MIC 2以下かつ高用 量(3g 8時間おき:通常 の倍量)で予後がよい可能 性がある Open Forum Infect Dis. 2019 Sep 28;6(10):ofz416. doi: 10.1093/ofid/ofz416

#98.

77 多剤耐性緑膿菌による感染症 ザバクサ vs AG/ポリミキシン • 後ろ向き観察研究 • 多剤耐性緑膿菌感染症 • 60-70%はVAPまたはHAP、菌血症は7% • セフトロザン/タゾバクタム vs アミノグリコシドまたはポリミ キシンを使用した抗菌薬治療(多くの場合併用治療) • Clinical cure:ザバクサ群で高い(81% vs 61%) • 病院内死亡:同等(20% vs 25%) • AKI:少ない(6% vs 34%) Clin Infect Dis. 2019 Sep 23. doi: 10.1093/cid/ciz816

#99.

78 VAPにおけるザバクサ vs MEPM • RCT、非劣勢試験 • 人工呼吸器装着している院内発症の肺炎 • セフトロザン/タゾバクタム(3g 8時間おき:通常doseの2倍量) • メロペネム(1g 8時間おき) • 治療期間は、8-14日間 • 28日mortality rate(約25%)と臨床的治癒率は同等 • ESBL産生腸内細菌科細菌による肺炎に限定した場合:同等 →肺炎で使用する場合は、倍量投与を考慮する Lancet Infect Dis. 2019;19(12):1299-1311. doi: 10.1016/S1473-3099(19)30403-7

#100.

移植後(HSCT/SOT)のCMV感染症 79 preemptive therapy Maribavir vs VGCV • • • • 第2相臨床試験、RCT 対象:移植後のCMV DNA(スクリーニング)陽性者 Maribavir vs バルガンシルロビル:治療への反応同等 Maribavirの副作用:味覚障害↑(40%)、好中球減少↓ 1日2回内服 N Engl J Med. 2019;381(12):1136-1147. doi: 10.1056/NEJMoa1714656

#101.

80 菌血症を伴う尿路感染症 不適切な経験的治療の影響 • • • • • 後ろ向き観察研究 対象:非重症の菌血症を伴った尿路感染症(mortality約10%) 適切な経験的治療群と不適切な経験的治療群を比較 適切な経験的治療群でquick SOFA score>1が多い 経験的抗菌薬:CTRXが最多、PIPC/TAZ、CPFXなど • 両群で、治癒までの期間、死亡は同等 →非重症例では、ESBL産生菌や緑膿菌を全 例でカバーする必要はないかもしれない Clin Microbiol Infect. 2019;25(10):1253-1258. doi: 10.1016/j.cmi.2019.02.02

#102.

81 腎移植後の無症候性細菌尿 抗菌薬治療の効果なし • RCT、非盲検、非劣勢試験、小規模 • 腎移植後1年以内の無症候性細菌尿(カテーテル抜去) • 培養結果に応じて5-7日間治療群 or 無治療群 • 両群とも移植後約60日で最初の無症候性細菌尿が出現 • Primary endpoint:移植腎の腎盂腎炎 12.2% vs 8.7% • 治療群で、ホスホマイシン・ESBL産生菌・A/C耐性菌が増加 する可能性が指摘された →腎盂腎炎は減らない、耐性菌が増える可能性がある Open Forum Infect Dis. 2019 May 21;6(6):ofz243. doi: 10.1093/ofid/ofz243

#103.

投与方法 投与経路・治療期間

#104.

82 肝硬変患者の血流感染症 βラクタムの持続投与 • • • • 多施設前向き観察研究 持続/長時間投与群: PIPC/TAZ 持続投与 MEPM 3-4時間投与 間欠投与群:30分投与 経験的治療を対象とした • 長時間/持続投与群で 30日死亡が減少 (16% vs 36%) Clin Infect Dis. 2019;69(10):1731-1739. doi: 10.1093/cid/ciz032

#105.

83 体格に応じた バンコマイシンの投与量 BMI <18.5 18.5-24.9 ≧25 • バンコマイシンの至適投与量 と体格の関連を検討した後ろ 向き観察研究 • 正常腎機能の成人 • 目標トラフ:10-20 µg/mL • 1回投与量(1日2回投与) - やせ型:20mg/kg - 標準型:15mg/kg強 - 肥満:15mg/kg未満 • 肥満患者では過剰投与に注意 J Infect Chemother. 2019;25(9):735-737. doi: 10.1016/j.jiac.2019.04.017

#106.

84 • • • • • • • • • IEのOPAT Outpatient Parenteral Antibiotic Treatment 多施設前向き観察研究(スペインの25施設) 登録患者数は2000 全体の21.5%がOPATを受けた IDSAの基準はそのうち21.7%しか満たさなかった OPAT群の27%は、PVEだった 使用された薬剤:CTRX, VCM, GMなどが多かった 対象となった微生物:MSSA、VGS、CNS、E. faecalis OPAT期間については記載なし →OPATの対象となる患者は、約20%存在する Clin Infect Dis. 2019;69(10):1690-1700. doi: 10.1093/cid/ciz030.

#107.

Spanish Society of Clinical Microbiology and Infectious Diseasesの推奨 NVE:合併症ない場合は、手術の有無を問わず、血液培養陰性 確認72時間以降、OPATへ移行 PVE:手術必要なし・合併症なし・VGSまたはE. faecalisによ るIEの場合、血液培養陰性確認72時間以降、OPATへ移行

#108.

85 蜂窩織炎の治療期間 6日間? • 多施設非劣勢無作為比較試験 • 入院を必要とした成人の蜂窩織炎患者(菌血症なし) • フルクロキサシリン静注→経口フルクロキサシリン • 6日目の時点で、症状が改善傾向の解熱している患者 placebo群 or 経口クロキサシリンでさらに6日間治療群に割り付け • Outcome:28日目までに再燃なしの14日目治癒率 6日治療群49.3%、12日治療群50%(非劣勢は証明できなかった) • 28-90日の間の再燃:6日治療群24%>12日治療群6% • 6日間治療の非劣勢は示せなかった、ただし、90日以内の再燃が増加した →6日間の治療では短い可能性がある Clin Microbiol Infect. 2019 Oct 13. doi: 10.1016/j.cmi.2019.09.019

#109.

86 GNR菌血症の治療期間 7日 vs 14日で同等 • RCT(非劣勢試験、多施設、open-label) • 対象:GNR菌血症:有効な抗菌薬開始して7日目時点で、48時間以上循 環動態安定かつ解熱状態かつsource control完了 • Focus:尿路約70%、focus不明10%弱、腹腔内10%強 • 原因菌:大腸菌60%、K. pneumoniae 11-15%、その他の腸内細菌科 13-14%、ブドウ糖非発酵菌は10%程度(ほとんどが緑膿菌) • primary outcome:90日後の全死亡+菌血症再燃+局所化膿性合併症+ 遠隔病変+再入院+14日を超える入院:7日群45.8%、14日群48.3% • secondary outcome:primary outcomeの各項目:同等 • 死亡率11.8% vs 10.7% 腸内細菌科、source control良好、尿路・腹腔内、経過良好 Clin Infect Dis. 2019;69(7):1091-1098. doi: 10.1093/cid/ciy1054

#110.

87 腸内細菌科細菌菌血症 早期経口スイッチ • 後ろ向き観察研究 • 腸内細菌科細菌菌血症(Source control良好、day 1から効果ある抗菌薬、 day 5までに良好な経過) • Day 5までに内服スイッチ vs 全期間IV • 治療期間は7-15日間 • Focus:尿路、胆道、消化管、 カテーテルなど • 30日死亡:13.1% vs 13.4% 0.85 • 入院期間:5日 vs 7日 内服:CPFX, LVFX, ST etc JAMA Intern Med. 2019;179(3):316-323. doi: 10.1001/jamainternmed.2018.6226

#111.

渡航関連

#112.

88 ジカウイルス感染症 • これまでの歴史 • 感染経路:蚊・性行為・血液・母子 • 症状 • 診断:NAATまたは血清学的検査 • 治療:対症療法 • 予防:防蚊対策、避妊。女性の場合、 2か月性行為を控えるまたはコン ドームの使用。男性の場合は、3か 月(WHOは6か月を推奨)。 N Engl J Med. 2019;381(15):1444-1457. doi: 10.1056/NEJMra1808246

#113.

89 東部ウマ脳炎のoutbreak • 2019年に米国でoutbreakが起こった • 36例が報告された(2019.11現在) N Engl J Med 2019; 381:1989-1992 DOI:10.1056/NEJMp1914328

#114.

90 渡航者の脳炎・髄膜脳炎の診断 Clin Microbiol Infect. 2019;25(4):415-421. doi: 10.1016/j.cmi.2019.01.008

#115.

ワクチン

#116.

91 インフルエンザワクチン 15歳未満に接種すると効果が高い • 日本で15歳未満にインフルエンザワ クチンを接種することは、現在の高齢者 を主にtargetとした接種戦略より、罹患率 の減少・費用対効果において、優れてい ることを示した Vaccine. 2019 Nov 14. doi: 10.1016/j.vaccine.2019.11.001

#117.

92 小児へのインフルエンザワクチン 接種は1回?2回? • 6か月から12歳の小児に対するインフルエンザワクチンの 効果を検討した日本の観察研究 • A型、B型どちらでも、1回接種・2回接種の予防効果あり • 1回接種と2回接種で差なし • 一部のシーズンで、B型に対して2回接種の場合のみ有効 →1回接種でもよい?? Vaccine. 2019;37(30):4047-4054. doi: 10.1016/j.vaccine.2019.05.090

#118.

93 免疫チェックポイント阻害薬使用中の インフルエンザワクチンの効果 • • • • • 前向き観察研究 4価不活化インフルエンザワクチンの効果を評価 細胞障害性抗癌薬使用者<免疫チェックポイント阻害薬使用者(下図) あるサイクルのday 1にインフルエンザワクチンを筋注 免疫チェックポイント阻害薬使用下のseroprotection率は約80%程度 →健常人と同等の効果が期待できる Clin Infect Dis. 2019 Nov 4. doi: 10.1093/cid/ciz1092

#119.

免疫チェックポイント阻害薬 使用中の安全性 • 免疫チェックポイント阻害薬(ニボルマブ:オプ ジーボ®)投与中に、インフルエンザワクチンは安 全に接種できるかどうか • irAE(immune-related adverse event:免疫関連 副作用)が増加する可能性が指摘されたが1)、その 後の複数の報告によると、安全に接種可能2-4) 1) J Immunother Cancer. 2018;6(1):40. 2) Eur J Cancer. 2018;104:182-187. 3) Clin Infect Dis. 2019 Mar 15. pii: ciz202. doi: 10.1093/cid/ciz202 4) J Oncol Pharm Pract. 2019 Aug 31:1078155219868758. doi: 10.1177/1078155219868758

#120.

ESCMID • 免疫チェックポイント阻害薬使用時 - ニボルマブ - ペンブロリズマブ - イピリムマブ etc • ワクチン接種は健常人と同様の対応 ESCMID:European Society of Clinical Microbiology and Infectious Diseases Clin Microbiol Infect. 2018;24 Suppl 2:S95-S107

#121.

94 • 小児へのPCV13接種によって、小児・成人におけるPCV13カ バー率の低下が著明となった。 • 2014年以降、PCV13カバーのIPDは減少しなかった • 免疫不全者・人工内耳・髄液漏を除く65歳以上の高齢者には、 PPSV23は1回接種、PCV13は「Shared clinical decision- making」推奨(routineの接種は推奨しない) • PCV13接種する場合は、PCV13の1年後にPPSV23を接種する MMWR Morb Mortal Wkly Rep. 2019 Nov 22;68(46):1069-1075. doi: 10.15585/mmwr.mm6846a5

#122.

減少なし! MMWR Morb Mortal Wkly Rep. 2019 Nov 22;68(46):1069-1075. doi: 10.15585/mmwr.mm6846a5

#123.

MMWR Morb Mortal Wkly Rep. 2019 Nov 22;68(46):1069-1075. doi: 10.15585/mmwr.mm6846a5

#124.

95 HPV DNAワクチン:CIN3に接種 • 第2相試験 • HPV16/18によるCIN3を対象 • RCT、1mg vs 4mgを比較 • ワクチン接種:0, 4w, 12w(筋注) • Primary endpoint:CIN1以下へのregression • 1回目接種の20週間後:52%に効果 • 1回目接種の36週間後:67%に効果 • 1回1mgのほうが効果が有意に高かった Clin Cancer Res. 2019 Nov 14. doi: 10.1158/1078-0432.CCR-19-1513

#125.

96 ロタウイルスワクチンの効果 • case-control vaccine effectiveness study • ロタウイルスワクチンの効果(救急外来受診・入院)は、約80% • RotaTeqとRotarixの効果は同等 • 重症例で予防効果が高かった(約90%) JAMA Netw Open. 2019 Sep 4;2(9):e1912242. doi: 10.1001/jamanetworkopen.2019.12242

#126.

2020年10月から 定期接種化が決定

#127.

97 血液悪性腫瘍患者における 帯状疱疹不活化ワクチン • Shingrixの効果を検討したRCT • 対象は、血液悪性腫瘍患者 • placeboと比較、1-2か月間隔で2回接種 • 液性免疫の指標は良好に反応:80% ※リツキシマブを使用しているCLLとNHLを除く • 安全性も問題なし Lancet Infect Dis. 2019;19(9):988-1000. doi: 10.1016/S1473-3099(19)30163-X

#128.

98 自家造血幹細胞移植後 帯状疱疹不活化ワクチン効果68% • • • • • • • • • RCT(vs placebo)、28か国167施設 50-70日前に自家造血幹細胞移植を施行 した18歳以上 ワクチン接種:0.5mlを2回接種(初回 auto-HSCT後50-70日、2回目1-2か月 後) 主要評価項目:帯状疱疹確定例:68%↓ 帯状疱疹関連合併症 78%↓ 帯状疱疹後神経痛89%↓ 入院85%↓ 接種群の局所反応86% Post hoc解析:2回目接種1か月後から の抗ウイルス薬の予防内服の期間が0日、 1-60日、どちらの場合もワクチン効果を 認めた JAMA. 2019;322(2):123-133. doi: 10.1001/jama.2019.9053

#129.

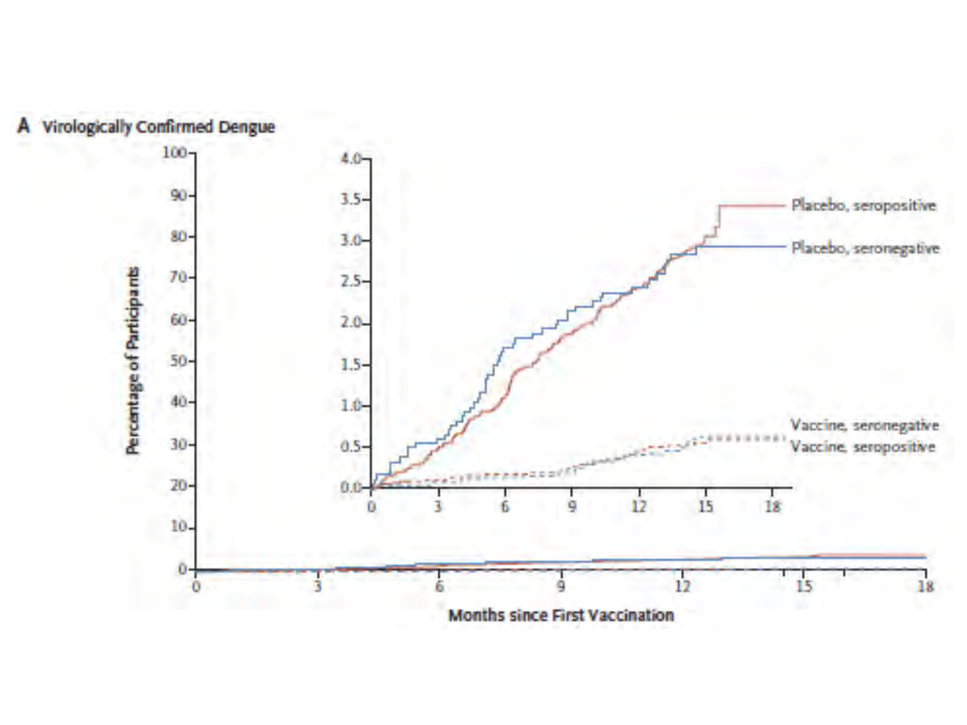
99 4価デングワクチンの効果 • 対象:流行地域の健康な4-16歳 • RCT、placeboと比較 TAK-003 • 4価デングワクチン(生ワクチン:0, 3Mに皮下注) • 効果は約80%(罹患歴に関わらず予防効果をみとめた) • 罹患歴のない患者における重症化の増加(Dengvaxiaでみれ らた現象)は認めなかった • DENV-3への効果は認めなかった • DENV-4への効果は検討できなかった N Engl J Med 2019;381:2009-2019. DOI:10.1056/NEJMoa1903869

#131.

100 腸チフス結合型ワクチン • RCT、第3相試験 • ネパール • TCV vs MenA(Conctrol) • 1回接種(筋注) • 6か月から16歳 • Primary outcome:血液培 養で確定診断した腸チフ ス:81.6%↓ N Engl J Med. 2019;381(23):2209-2218. doi: 10.1056/NEJMoa1905047

#132.

必読!? ガイドライン/総説 20程度紹介します

#133.

• 第一版は、成人の急性気道感染症と急性 下痢症にfocusを当てていた • 第二版は、乳幼児の急性気道感染症(急 性中耳炎も含む)と急性下痢症も対象

#134.

フルオロキノロンのまとめ • Kansen Journal、Impact Factor 10,000?

#135.

雑誌:J-IDEO • 年6回 - 虫について - 渡航感染症について - 血液悪性腫瘍患者の感染症 - 基礎と臨床とつなぐかもしれない耐性菌の話 - グラム染色と培養からみた感染症診療

#136.

• 薬剤耐性菌についての米国CDCのレポート https://www.cdc.gov/drugresistance/pdf/threats-report/2019-ar-threats-report-508.pdf

#137.

• 2010年以降の変遷 - 腸内細菌科:カルバペネム、第3-4世代セフェム CEZ、フルオロキノロン(FQ) - Salmonella spp.:FQ - 緑膿菌:カルバペネム、PIPC/TAZ、FQ - Acinetobacter spp.:カルバペネム - Enterococcus spp.:ダプトマイシン J Clin Microbiol. 2019 May 24;57(6). doi: 10.1128/JCM.00203-19

#138.

• MRSA肺炎におけるST合剤、CLDM、DOXY、MINOの 治療効果についての総説 • どの薬剤も十分なdataはない • 比較的検討されているのは、ST合剤 • 個人的には、ST→CLDM→MINO Ann Pharmacother. 2019;53(11):1153-1161. doi: 10.1177/1060028019856721

#139.

• 対象:カルバペネム耐性の腸内細菌科細菌、緑膿菌、Acinetobacter baumanii、 Stenotrophomonas maltophilia • 新規抗菌薬:ceftazidime-avibactam, ceftolozane-tazobactam, meropenem-vaborbactam, imipenem-cilastatin-relebactam, plazomicin, eravacycline, cefiderocol • これらの新規抗菌薬の解説・問題点(標的治療としてのevidenceが不十分、薬 剤感受性試験やカルバペネム耐性機序の同定、コストなど)・ASPの果たす役 割などが解説されている Clin Infect Dis. 2019 Nov 13;69(Supplement_7):S565-S575. doi: 10.1093/cid/ciz830.

#140.

• 抗菌薬の短期治療のevidenceのまとめ:Shorter Is Better • 治療期間:「7の倍数」からの脱却 • 過剰な抗菌薬治療を控えましょう、という内容 Clin Infect Dis. 2019 Oct 15;69(9):1476-1479. doi: 10.1093/cid/ciy1134.

#141.

集中治療領域での抗菌薬投与量 • オーストラリアの報告 • βラクタムは最初の24-48時間は通常投与量 Int J Antimicrob Agents. 2019 Nov 10. doi: 10.1016/j.ijantimicag.2019.10.018

#142.

• • - 市中肺炎の診療ガイドラインの改訂 免疫不全者は対象としていない 喀痰のグラム染色と培養の適応 血液培養の適応 初期治療 副腎皮質ステロイドの適応(難治性septic shock) 抗菌薬投与期間(基本は5-7日程度) 胸部レントゲンの再検の必要性 Am J Respir Crit Care Med. 2019;200(7):e45-e67. doi: 10.1164/rccm.201908-1581ST

#143.

• 無症候性細菌尿の診療ガイドライン • 治療適応 - 泌尿器科処置前:1-2回の投与(事前に尿培養) - 妊婦:4-7日間治療 - 腎移植1か月以降の患者に対するscreeningは非推奨 (1か月以内の場合は、判断するための情報が不十分) Clin Infect Dis. 2019;68(10):e83-e110. doi: 10.1093/cid/ciy1121

#144.

• MDR-TBの治療薬と治療期間 - intensive phase:5剤以上 培養陰性確認から5-7か月間 - continuation phase:4剤 培養陰性確認から合計15-21(24)か月になるように - LVFX or MFLX, bedaquiline - LZD, clofazimine, cycloserine, ethambutol, PZA • INH耐性結核の治療薬と治療期間 • MDR-TB曝露後のLTBIの治療 Am J Respir Crit Care Med. 2019;200(10):e93-e142. doi: 10.1164/rccm.201909-1874ST

#145.

• バンコマイシンTDMガイドライン(案) - 目標とする指標:成人・小児ともにAUC/MIC 400-600(MIC=1) この目標値は、年齢、腎機能、肥満の有無に関係なく推奨される 臨床効果を最も高め、AKIを最小限に抑えるため Bayesian法を用いてバンコマイシンの投与設計・AUCの推定を行う 最初のTDMは、ピークとトラフ濃度を、治療開始24-48時間以内に トラフ濃度のみの測定でも、AUCの推定は可能である(精度は低い) トラフ濃度は、PK/PD指標として使用しない https://www.ashp.org/-/media/assets/policy-guidelines/docs/draft-guidelines/draftguidelines-ASHP-IDSA-PIDS-SIDP-therapeutic-vancomycin.ashx

#146.

• HIV患者の結核の治療の総説 - 目新しい記載はほとんどない 感受性のよい結核は6か月治療 薬物相互作用、ARTの開始時期、免疫再構築症候群の予防と治療 抗結核薬による肝障害と皮膚障害、INHによる末梢神経障害が多い ART開始のタイミングは、以下が推奨されている CD4 50 /µL未満の場合は結核治療開始から2週間以内 CD4 50 /µL以上の場合は結核治療開始から8週間以内 - ARTなし場合、ステロイドの投与でカポジ肉腫が増加 Lancet HIV. 2019;6(7):e463-e474. doi: 10.1016/S2352-3018(19)30154-7

#147.

HIV感染を理由とした就業差別の 廃絶に向けた声明

#148.

• 造血幹細胞移植を行っていない血液悪性腫瘍患者に対するワク チン接種ガイドライン(欧州:ECIL7) • Intensive chemotherapyの終了後は3か月以上、リツキシマブ 使用後は6か月以上の間隔を開けてからワクチン接種すること が推奨されている • intensive chemotherapy中の接種は推奨していない • その他の免疫不全の状況であれば、インフルエンザワクチン (毎年)と肺炎球菌ワクチン(PCV13→PPSV23)は、ほとん どの血液悪性腫瘍患者で推奨されている • 小児の血液悪性腫瘍も対象としている Lancet Infect Dis. 2019;19(6):e188-e199. doi: 10.1016/S1473-3099(18)30601-7

#149.

• 血液悪性腫瘍への造血幹細胞移植のレシピエ ントに対するワクチン接種ガイドライン(欧州: ECIL7)。これまでと大きな変化はないが、接種間 隔の記載があることが特徴。 • PCV13とHibワクチンは、移植後3か月時点から接 種開始可能と記載されている。 Lancet Infect Dis. 2019;19(6):e200-e212. doi: 10.1016/S1473-3099(18)30600-5

#150.

• ムーコル Lancet Infect Dis. 2019;19(12):e405-e421. doi: 10.1016/S1473-3099(19)30312-3 • 非アスペルギルス Antimicrob Agents Chemother. 2019 Oct 22;63(11). doi: 10.1128/AAC.01244-19 • ICUでのDe-escalation Intensive Care Med. 2019 Nov 28. doi: 10.1007/s00134-019-05866-w

Antaa Slide

医師・医学生のためのスライド共有

Antaa QA

医師同士の質問解決プラットフォーム

App StoreからダウンロードGoogle Play Storeからダウンロード

会社概要

Antaa, Inc. All rights reserved.

Follow us on Facebook
Follow us on Twitter